|
GPU¿Í CPU¸¦ Ȱ¿ëÇÑ °´Ã¼ °ËÃâ ¾Ë°í¸®Áò ¼º´É ºñ±³
¿µ»ó±â¹Ý °´Ã¼ °ËÃâÀº Áö´ÉÇü CCTV ½Ã½ºÅÛÀ» ±¸ÇöÇϴµ¥ ÀÖ¾î ±âº»ÀûÀÎ ±â¼úÀÌ´Ù. °´Ã¼ °ËÃâÀ» À§ÇØ ´Ù¾çÇÑ Æ¯Â¡Á¡°ú ¾Ë°í¸®ÁòÀÌ °³¹ßµÆÀ¸³ª, ¼º´É¿¡ ºñÇØ °è»ê·®ÀÌ ¸¹´Ù. À̹ø ½ÃÅ¥¸®Æ¼¿ùµå¿¡¼ ¼Ò°³ÇÏ´Â ¡®º¸¾È±â¼ú ¼³¸í¼¡¯¿¡¼´Â GPU¿Í CPU¸¦ Ȱ¿ëÇØ °´Ã¼ °ËÃâ ¾Ë°í¸®ÁòÀÇ ¼º´É ºñ±³¸¦ ´Ù·é´Ù. ÀϹÝÀûÀ¸·Î º¸ÇàÀÚ °ËÃâ¿¡ ³Î¸® »ç¿ëµÇ°í ÀÖ´Â Adaboost ¾Ë°í¸®Áò°ú SVM ¾Ë°í¸®ÁòÀ» °¢°¢ CPU¿Í GPU¿¡ ¸Âµµ·Ï ±¸ÇöÇÏ°í µ¿ÀÏ ¿µ»ó¿¡ ´ëÇØ °ËÃâ ó¸® ¼Óµµ¸¦ ºñ±³Çß´Ù.
[½ÃÅ¥¸®Æ¼¿ùµå : ¹ÚÀå½Ä °æ¼º´ëÇб³ ÀüÀÚ°øÇаú ±³¼ö] ÇöÀç CCTV´Â ¹æ¹ü, ¹æÀç, ½Ã¼³¹° °ü¸®, ±³Åëü°è °ü¸® µî¿¡ ³Î¸® Àû¿ëµÇ°í ÀÖ´Ù. ¹æ¹ü¡¤¹æÀ縦 À§ÇÑ CCTV °üÁ¦¼¾ÅÍÀÇ °æ¿ì ¼ö¹é ´ëÀÇ Ä«¸Þ¶ó·ÎºÎÅÍ ¿µ»óÀ» Àü¼Û¹Þ±â ¶§¹®¿¡ Æò±Õ 20¸íµµ ¾ÈµÇ´Â °üÁ¦ ÀοøÀÌ ¸ðµç Ä«¸Þ¶ó¸¦ °üÁ¦Çϱ⿡´Â ¹«¸®°¡ µû¸¥´Ù. µû¶ó¼ ÃÖ±Ù¿¡´Â ¿µ»óó¸®, ¿µ»óÀÎ½Ä ±â¼úÀ» Ȱ¿ëÇØ ¹üÁ˳ª Àç³ »óȲÀ» ÀνÄÇÏ´Â ¿µ»ó±â¹Ý Áö´ÉÇü CCTV ±â¼úÀÌ °³¹ßµÇ°í ÀÖ´Ù[1-4].
¿µ»ó±â¹Ý Áö´ÉÇü CCTV °üÁ¦ ½Ã½ºÅÛÀ» ±¸ÇöÇϱâ À§Çؼ´Â °´Ã¼ °ËÃâ, ÃßÀû, »óȲÀÎ½Ä ±â¼úÀÌ ÇÊ¿äÇÏ´Ù. °´Ã¼ °ËÃâÀº ¿µ»ó±â¹Ý »óȲ ÀνÄÀ» À§ÇØ ÇÊ¿äÇÑ ±âº» ±â¼úÀÌ´Ù. °´Ã¼ °ËÃâÀ» À§Çؼ´Â ¹è°æÃßÁ¤ ±â¹ýÀ» ÀÌ¿ëÇÏ´Â ¹æ¹ý°ú Ư¡Á¡(feature)À» Ȱ¿ëÇØ ÇнÀ ¾Ë°í¸®ÁòÀ» ÀÌ¿ëÇÏ´Â ¹æ¹ýÀÌ ÀÖ´Ù. ¹è°æÃßÁ¤ ¾Ë°í¸®ÁòÀº ÇнÀ ¾Ë°í¸®ÁòÀ» ÀÌ¿ëÇÏ´Â ¹æ¹ý[5-6]À¸·Î °è»ê·®Àº ÀûÁö¸¸ »ç¶÷ÀÌ ¿òÁ÷ÀÌÁö ¾Ê´Â °æ¿ì, °´Ã¼ °ËÃâ ¼º´ÉÀÌ ÀúÇϵȴÙ. °´Ã¼ÀÇ Æ¯Â¡Á¡À» Ȱ¿ëÇÑ ÇнÀ ¾Ë°í¸®ÁòÀ¸·Î °´Ã¼¸¦ °ËÃâÇϱâ À§Çؼ´Â °´Ã¼ÀÇ Æ¯Â¡À» Àß Ç¥ÇöÇÑ Æ¯Â¡Á¡À» ÃßÃâÇϰí, Ư¡Á¡À» ÀÌ¿ëÇØ °ËÃâÇϰíÀÚ ÇÏ´Â ´ë»ó¿¡ ÀûÇÕÇÑ ÇнÀ ¾Ë°í¸®Áò(learning algorithm)ÀÌ ÇÊ¿äÇÏ´Ù. °´Ã¼ °ËÃâÀ» À§ÇØ ´Ù¾çÇÑ Æ¯Â¡Á¡°ú ÇнÀ ¾Ë°í¸®ÁòÀÌ °³¹ßµÆ´Ù. CCTV °üÁ¦¿¡ ÀÖ¾î °ËÃâÇØ¾ß ÇÏ´Â ´ë»óÀº º¸ÇàÀÚ¿Í Â÷·®ÀÌ´Ù. º¸ÇàÀÚ °ËÃâ¿¡´Â À¯»ç Haar, HOG(Histogram of Oriented Gradient)¿Í LBP(Local Bit Pattern) Ư¡Á¡[7]ÀÌ ÁַΠȰ¿ëµÇ°í, ÇнÀ ¾Ë°í¸®ÁòÀ¸·Î´Â Adaboost[8]¿Í SVM(Support Vector Machine)[9] ¾Ë°í¸®ÁòÀÌ Àû¿ëµÈ´Ù. ÇнÀ ¾Ë°í¸®ÁòÀº ÀâÀ½ÀÌ Àְųª °´Ã¼°¡ °ãÄ¡´Â »óȲ¿¡¼µµ ¿ì¼öÇÑ ¼º´ÉÀ» ³ªÅ¸³»Áö¸¸ °è»ê·®ÀÌ ´Ù¼Ò ¸¹´Ù.
À̹ø ±â»ç¿¡¼´Â GPU¸¦ Ȱ¿ëÇØ Áö´ÉÇü CCTV °üÁ¦ ½Ã½ºÅÛ¿¡¼ÀÇ º¸ÇàÀÚ °ËÃâ ¼Óµµ¸¦ °³¼±ÇÏ´Â ¹æ¹ýÀ» ¼Ò°³ÇϰíÀÚ ÇÑ´Ù. º¸ÇàÀÚ °ËÃâ¿¡ ³Î¸® Àû¿ëµÇ°í ÀÖ´Â Adaboost¿Í SVM ¾Ë°í¸®ÁòÀ» CPU¿Í GPU »ó¿¡¼ ±¸ÇöÇØ °ËÃâ ó¸® ¼Óµµ¸¦ ºñ±³ÇÑ´Ù. ¿£ºñµð¾Æ»ç(NVIDIA)ÀÇ CUDA¸¦ Ȱ¿ëÇØ °¢ ¾Ë°í¸®ÁòÀ» GPU »ó¿¡¼ ±¸Çö, µÎ ¾Ë°í¸®ÁòÀÇ Ã³¸® ¼Óµµ¸¦ CPU¿Í ºñ±³Çß´Ù.
¿µ»ó±â¹Ý °´Ã¼ °ËÃâ
¿µ»ó±â¹Ý °´Ã¼ °ËÃâÀ» À§ÇØ ´Ù¾çÇÑ Æ¯Â¡Á¡°ú ÇнÀ ¾Ë°í¸®ÁòÀÌ Á¦¾ÈµÇ°í ÀÖ´Ù. ÃÖ±Ù±îÁö ÁÖ·Î ¿¬±¸µÇ°í Àִ Ư¡Á¡µéÀº À¯»ç Haar Ư¡Á¡, HOG Ư¡Á¡, LBP Ư¡Á¡ µîÀÌ ÀÖ´Ù. ¾ð±ÞÇÑ Æ¯Â¡Á¡°ú Á¶ÇÕÇØ ÃÖ±Ù±îÁö Àû¿ëµÇ°í ÀÖ´Â ÇнÀ ¾Ë°í¸®ÁòÀº Adaboost ¾Ë°í¸®Áò, SVM ¾Ë°í¸®ÁòÀÌ ÁÖ·Î »ç¿ëµÇ°í ÀÖ´Ù.
¿µ»ó±â¹Ý °´Ã¼ °ËÃâ Æ¯Â¡Á¡
¿µ»ó±â¹Ý °´Ã¼ °ËÃâÀ» À§ÇÑ Æ¯Â¡Á¡ ¼±ÅÃÀº °´Ã¼ °ËÃâ ¼º´É¿¡ ¸¹Àº ¿µÇâÀ» ÁØ´Ù. ±×¸² 1Àº ±âº»Çü À¯»ç Haar Ư¡Á¡À» ³ªÅ¸³½ °ÍÀÌ´Ù. (a), (b), (c)´Â °¢°¢ °æ°è¼± Ư¡Á¡, ¼± Ư¡Á¡, Áß½É Æ¯Â¡Á¡ÀÌ´Ù. ±×¸² 2´Â À¯»ç Haar Ư¡Á¡À» Ȱ¿ëÇØ °´Ã¼¸¦ °ËÃâÇÏ´Â ¿ø¸®¸¦ ³ªÅ¸³½ °ÍÀ¸·Î º¸ÇàÀÚÀÇ °¢ ¿òÁ÷ÀÓ¿¡ ´ëÇØ À¯»çµµ°¡ ³ôÀº Ư¡Á¡À» ³ªÅ¸³½ °ÍÀÌ´Ù.
±×¸² 1. È®ÀåµÈ À¯»çHaar Ư¡Á¡
|
±×¸² 2. º¸ÇàÀÚ¸¦ Æ÷ÇÔÇÏ´Â ¿µ¿ª¿¡¼ ³ôÀº ÀÀ´äÀ» Á¦°øÇÏ´Â À¯»çHaar Ư¡Á¡ |
±×¸² 3Àº HOG Ư¡Á¡À» ¾ò´Â °úÁ¤À» ³ªÅ¸³½ °ÍÀÌ´Ù. (a)´Â ¾ß°£¿¡ ÃÔ¿µµÈ º¸ÇàÀÚ ¿µ»óÀ̸ç, (b)´Â ±â¿ï±â¸¦ °ËÃâÇÑ °á°úÀ̰í, (c)´Â ±â¿ï±â ¹æÇâÀ» Ç¥½ÃÇÑ °ÍÀÌ´Ù. (d)´Â º¸ÇàÀÚ ¿µ»óÀ» ÀÏÁ¤ÇÑ °£°ÝÀ¸·Î ¿µ¿ªÀ» ¼³Á¤ÇÑ °ÍÀ̸ç, (e)´Â °¢ ¿µ¿ª¿¡ ´ëÇÑ ±â¿ï±â ¹æÇâÀÇ È÷½ºÅä±×·¥À» ³ªÅ¸³½ °ÍÀÌ´Ù. º¸ÇàÀÚ¿¡ ´ëÇÑ ±â¿ï±â ¹æÇâ È÷½ºÅä±×·¥Àº HOG Ư¡À» ºñ±³ÇØ º¸ÇàÀÚ¸¦ °ËÃâÇϴµ¥ Ȱ¿ëÇÑ´Ù. ÀϹÝÀûÀ¸·Î º¸ÇàÀÚ °ËÃâ¿¡ È¿°úÀûÀΠƯ¡Á¡À¸·Î ¾Ë·ÁÁ® ÀÖ´Ù.
±×¸² 3. HOG¸¦ ÀÌ¿ëÇÑ ¿µ»ó Ư¡ ¹¦»ç
|
±×¸² 4. ±âº»ÀûÀÎ LBP ¿¬»ê |
±×¸² 4´Â LBP Ư¡Á¡À» ±¸ÇÏ´Â °úÁ¤À» ³ªÅ¸³½ °ÍÀÌ´Ù. ƯÁ¤ ¿µ¿ª¿¡¼ Áß½É È¼Ò¸¦ ±âÁØÀ¸·Î ¹à±â°ªÀÌ Å« ȼҴ 1·Î, ÀÛÀº ȼҴ 0À¸·Î ¼³Á¤ÇØ ¹Ý½Ã°è ¹æÇâÀ¸·Î »ý¼ºµÈ ºñÆ® ÆÐÅÏÀ» Ư¡Á¡À¸·Î Ȱ¿ëÇÑ´Ù.
ÇнÀ ¾Ë°í¸®Áò
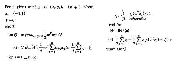
°´Ã¼ÀÇ Çü»ó º¯È°¡ Àְųª °ãħÀ̳ª ÀâÀ½ÀÌ ÀÖ´Â »óȲ¿¡¼´Â ÇнÀ ¾Ë°í¸®ÁòÀ» ÀÌ¿ëÇÑ °´Ã¼¸¦ °ËÃâ ¹æ¹ýÀÌ Á¦¾ÈµÇ°í ÀÖ´Ù. Ç¥ 1Àº º¸ÇàÀÚ¿Í ¾ó±¼ °ËÃâ¿¡ Ȱ¿ëµÇ°í ÀÖ´Â Adaboost ¾Ë°í¸®ÁòÀÌ´Ù. 3´Ü°è¿¡¼ ±¸ÇÑ ¾àºÐ·ù±âµéÀ» Á¶ÇÕÇØ 4´Ü°è¿¡¼´Â °ºÐ·ù±â¸¦ Çü¼ºÇØ Æ¯Á¤ ¿µ¿ª¿¡ ´ëÇÑ À¯»ç Haar Ư¡Á¡À̳ª HOG Ư¡Á¡À» ºñ±³ÇØ º¸ÇàÀÚ¸¦ °ËÃâÇÑ´Ù.
Ç¥ 1. Adaboost ÈÆ·Ã
|
Ç¥ 2. SVM ÈÆ·Ã |
GPU ÀÓº£µðµå½Ã½ºÅÛ
GPU Å×±×¶ó K1
±×·¡ÇÈ ¶Ç´Â ¿µ»ó 󸮸¦ À§ÇÑ CPUÀÇ ºÎÇϸ¦ ÁÙÀ̱â À§ÇØ ±×·¡ÇÈ ÇÁ·Î¼¼¼ÀÎ GPU »ç¿ëµÇ°í ÀÖ´Ù. ÃÖ±Ù ¸ÖƼÄÚ¾î CPUÀÇ º¸±Þ°ú GPUÀÇ ¼º´É Çâ»ó¿¡ µû¶ó °³Àοë ÄÄÇ»ÅÍ¿¡¼ º´·Ä󸮰¡ °¡´ÉÇÏ°Ô µÆ´Ù. GPU´Â ¿£ºñµð¾Æ»ç¿Í AMD µîÀÌ È°¹ßÇÏ°Ô ¿¬±¸ °³¹ßÀ» ÁøÇàÇϰí ÀÖ´Ù.
±×¸² 5. CPU¿Í GPU¿¡¼ Adaboost ¾Ë°í¸®ÁòÀ» ÀÌ¿ëÇÑ °ËÃâ°á°ú ±×¸² 6. CPU¿Í GPU¿¡¼ SVM ¾Ë°í¸®ÁòÀ» ÀÌ¿ëÇÑ °ËÃâ°á°ú
¿£ºñµð¾Æ»çÀÇ Å×±×¶ó K1(Tegra K1) SoC¸¦ »ç¿ëÇÑ ¸ð¹ÙÀÏ ÀÓº£µðµå ½Ã½ºÅÛÀ» Ȱ¿ëÇØ ¿µ»ó±â¹Ý °´Ã¼ °ËÃ⠽ýºÅÛÀ» ±¸ÇöÇÑ´Ù. Å×±×¶ó K1Àº 192°³ÀÇ GPU Äھ °¡Áö°í ÀÖ¾î ±×·¡ÇÈ Ã³¸® ±â´ÉÀÌ ¿ì¼öÇϰí Àü·Â È¿À²ÀÌ ³ô´Ù. Å×±×¶ó K1Àº ¿£ºñµð¾ÆÀÇ Kepler ¾ÆÅ°ÅØÃ³(architecture)·Î ±¸ÇöµÆÀ¸¸ç, DirectX11°ú OpenGL 4.4¸¦ Áö¿øÇØ PC ¼öÁØÀÇ °ÔÀÓ¿¡ ±×·¡ÇÈ Ã³¸®¸¦ Áö¿øÇÑ´Ù. ·¹³ëº¸ ThinkVision, »þ¿À¹Ì MI ÆÐµå, ¿¡À̽º Å©·ÒºÏ, HP Å©·ÒºÏ¿¡ Àû¿ëµÇ°í ÀÖ´Ù[10].
Å×±×¶ó K1Àº CPU, GPU, ISP(Image Signal Processor)°¡ ÇÔ²² ³»ÀåµÇ¾î ÀÖ´Ù. CPU´Â ¿£ºñµð¾ÆÀÇ 2.32GHz ARM 4ÄÚ¾î Cortex-A15À̸ç, GPU´Â Kepler GK20a·Î½á 192°³ÀÇ SM3.2 CUDA Äھ Æ÷ÇÔÇÑ´Ù. Å×±×¶ó K1¿¡ Àû¿ëµÈ Kepler GPUÀÇ ¾ÆÅ°ÅØÃ³´Â °í±Þ ½Ã½ºÅÛ¿¡ »ç¿ëµÇ´Â Kepler GPU ¾ÆÅ°ÅØÃ³¿Í °ÅÀÇ µ¿ÀÏÇÏÁö¸¸, ¸ð¹ÙÀÏÀÇ Æ¯¼º»ó Àü·Â È¿À²À» À¯ÁöÇϰí, ¸ð¹ÙÀÏ ½Ã½ºÅÛ¿¡ ¸Â´Â ÃÖÀûȰ¡ Àû¿ëµÆ´Ù. ÀϹÝÀûÀ¸·Î µ¥½ºÅ©Å¾, ¿öÅ©½ºÅ×À̼Ç, ½´ÆÛ ÄÄÇ»ÅÍ¿¡ Àû¿ëµÇ´Â Kepler GPU´Â ÃÖ´ë 2,880 °³ÀÇ ´ÜÁ¤µµ ºÎµ¿ ¼Ò¼öÁ¡ CUDA Äھ Æ÷ÇÔÇÏ°í ¼ö¹é ¿ÍÆ®ÀÇ Àü·ÂÀ» ¼ÒºñÇÑ´Ù. Å×±×¶ó K1 ÀÇ Kepler GPU´Â 192 °³ÀÇ CUDA ÄÚ¾î·Î ±¸¼ºµÅ 2W ¹Ì¸¸À» ¼ÒºñÇÑ´Ù.
Kepler ¾ÆÅ°ÅØÃ³´Â GPC(Graphics Processing Cluster), SMX(Streaming Multiprocessor) ¹× ¸Þ¸ð¸® ÄÁÆ®·Ñ·¯·Î ±¸¼ºµÈ´Ù. Kepler ±â¹Ý µ¥½ºÅ¾¿ë GeForce GTX 680 GPU´Â GPC 4°³, SMX 8°³, ¸Þ¸ð¸® ÄÁÆ®·Ñ·¯ 4°³·Î ±¸¼ºµÈ´Ù. Å×±×¶ó K1ÀÇ Kepler GPU´Â GPC 1°³, SMX 1°³, ¸Þ¸ð¸® ÀÎÅÍÆäÀ̽º·Î ÀÌ·ç¾îÁ®ÀÖ´Ù. Å×±×¶ó K1 GPU¿¡´Â 4°³ÀÇ ROP°¡ Æ÷ÇԵǾî ÀÖÀ¸¸ç, ROP¿Í ¸Þ¸ð¸® ÀÎÅÍÆäÀ̽º »çÀÌ¿¡ 128 KB L2 ij½Ã°¡ ÀÖ´Ù.
Å×±×¶ó K1ÀÇ Kepler GPU´Â OpenGL 4.4 »ç¾ç°ú NVIDIA CUDA 6, Çϵå¿þ¾î Ư¡ ·¹º§ 11·Î DirectX 11.2 API¸¦ Áö¿øÇÔÀ¸·Î½á ¸ð¹ÙÀÏ ±×·¡ÇÈ Ã³¸® ±â´ÉÀ» Á¦°øÇÑ´Ù.
Ä«¸Þ¶ó ÀÔ·Â ¿µ»ó¿¡ ´ëÇÑ Ã³¸®¿¡ ÀÖ¾î Å×±×¶ó K1¿¡´Â ÃÖ´ë 100¸Þ°¡Çȼ¿ ¼¾¼¸¦ Áö¿øÇÏ´Â µà¾ó ISP(dual Image Signal Processor) Äھ Æ÷ÇÔÇϰí ÀÖ´Ù. Äھ´Â 4096 °³ÀÇ µ¿½Ã ÃÊÁ¡À» ó¸®Çϰí ÃÊ´ç 1.2 GÀÇ È¼Ò¸¦ ó¸®ÇÒ ¼ö ÀÖ´Ù. °¢ ISP ÄÚ¾î´Â °ø°£ º¯¼ö ³ëÀÌÁî °¨¼Ò, ´ÙÁß ºÒ·® È¼Ò ¼öÁ¤, ´Ù¿î ½ºÄÉÀϸµ, »ö°ø°£ º¯È¯±â, ¿µ¿ª ÇÁ·Î¼¼¼ µîÀÇ ±â´ÉÀ» ÅëÇØ ÈÁúÀ» º¸Á¤Çϰí ÀâÀ½ÀÌ ÀûÀº ¿µ»óÀ» Á¦°øÇÔÀ¸·Î½á ¿µ»óÀ» ±â¹ÝÀ¸·Î ÇÏ´Â ¿µ»óó¸® ¹× ÄÄÇ»ÅÍ ºñÀü ¾Ë°í¸®ÁòÀÇ ¼º´ÉÀ» Çâ»ó½Ãų ¼ö ÀÖ´Ù. ISP´Â ÃÖ´ë 4,096 °³ÀÇ ÃÊÁ¡À» »ç¿ëÇØ ÀÚµ¿ Æ÷Ä¿½º, Æ÷Ä¿½º ŸÀÓ, ÀúÁ¶¸í Æ÷Ä¿½º µîÀÇ Æ÷Ä¿½º ±â´ÉÀ» Á¦°øÇÑ´Ù.
CUDA ¾ÆÅ°ÅØÃ³
GPU¸¦ ´Ü¼øÈ÷ ȸé 󸮻Ӹ¸ ¾Æ´Ï¶ó º´·Äó¸® °è»ê¿¡ Ȱ¿ëÇÏ´Â ¹æ¹ýÀ¸·Î GPGPU(General Purpose Computing on GPU)°¡ ÀÖ´Ù. GPGPU´Â GPU¸¦ °³¹ßÇÏ´Â NVIDIA »çÀÇ CUDA(Computer Unified Device Architecture)°¡ ÀÖÀ¸¸ç, AMD»çÀÇ ATI Stream µîÀÌ ÀÖ´Ù. ¶ÇÇÑ CPU, GPU, DSP ÀÌÁ¾ÀÇ ÇÁ·Î¼¼¼·Î ±¸¼ºµÈ Çϵå¿þ¾î Ç÷§ÆûÀ» È¿À²ÀûÀ¸·Î ÀÌ¿ëÇϰí Ç÷§Æû¿¡ ÀÇÁ¸ÇÏÁö ¾Ê´Â ÀÀ¿ë ÇÁ·Î±×·¥À» °³¹ßÇϱâ À§ÇÑ Ç÷§ÆûÀ¸·Î ¾ÖÇûç(Apple)¿¡ ÀÇÇÏ¿© Á¦°øµÇ´Â °³¹æ Ç¥ÁØ ±Ô°ÝÀÎ OpenCL(Open Computer Language)ÀÌ ÀÖ´Ù.
À̹ø ±â»ç¿¡¼´Â ¿µ»ó±â¹Ý °´Ã¼ °ËÃâÀ» À§ÇØ NVIDIAÀÇ Å×±×¶ó K1 SoC¸¦ »ç¿ëÇϱ⠶§¹®¿¡ NVIDIAÀÇ Àü¿ë Ç÷§ÆûÀÎ CUDA¸¦ Ȱ¿ëÇÑ´Ù. CUDA´Â GPU¿¡¼ ¼öÇàÇÏ´Â ¾Ë°í¸®ÁòÀ» C ¾ð¾î µîÀÇ »ê¾÷Ç¥ÁØ ¾ð¾î·Î ÀÛ¼ºÇÏ°í °³¹ßÇÒ ¼ö ÀÖµµ·Ï ÇÏ´Â GPGPU ±â¼úÀÌ´Ù. CUDA´Â CUDA GPU³»ºÎÀÇ ¸í·É¾î ¼¼Æ®¿Í ´ë¿ë·® º´·Éó¸® ¸Þ¸ð¸® Á¢±Ù(Memory Access)À» Áö¿øÇÑ´Ù.
½ÇÇè °á°ú ¹× °ËÅä
±×·¡ÇÈ º´·Äó¸® SoC Å×Å©¶ó K1À» žÀçÇÑ ÀÓº£µðµå ½Ã½ºÅÛ¸¦ Ȱ¿ëÇØ Adaboost ¾Ë°í¸®Áò°ú SVM ¾Ë°í¸®Áò¿¡ ´ëÇØ º¸ÇàÀÚ °ËÃâ ó¸® ¼Óµµ¸¦ ºñ±³ ºÐ¼®Çß´Ù. GPGPU·Î CUDA 6.0À» »ç¿ëÇØ °´Ã¼ °ËÃâ ¾Ë°í¸®ÁòÀ» ÄÄÆÄÀÏÇß´Ù. ½ÇÇè¿¡ »ç¿ëÇÑ µ¿¿µ»óÀÇ ÇØ»óµµ´Â 720¡¿480 ÀÌ´Ù.
±×¸² 5¿Í 6Àº °¢°¢ À¯»ç Haar Ư¡Á¡À» ÀÌ¿ëÇÑ Adaboost ¾Ë°í¸®Áò°ú HoG Ư¡Á¡À» ÀÌ¿ëÇÑ SVM ¾Ë°í¸®Áò¿¡ ´ëÇØ CPU¿Í GPU¿¡¼ °ËÃâÇÑ °á°ú´Ù. °¢ ¾Ë°í¸®ÁòÀ» CPU³ª GPU·Î ±¸ÇöÇØ º¸ÇàÀÚ¸¦ °ËÃâÇÏ´Ï, ´ëü·Î Àß °ËÃâÇÏ´Â °ÍÀ» È®ÀÎÇÒ ¼ö ÀÖ´Ù.
±×¸² 7. CPU¿Í GPU¸¦ »ç¿ëÇÑ °ËÃâ ¼Óµµ ºñ±³
±×¸² 7Àº À¯»ç Haar Ư¡Á¡À» Ȱ¿ëÇÑ Adaboost ¾Ë°í¸®Áò°ú HOG Ư¡À» Ȱ¿ëÇÑ SVM ¾Ë°í¸®ÁòÀ» CPU¿Í GPU¿¡ Àû¿ëÇØ °ËÃâ ó¸® ¼Óµµ¸¦ ºñ±³ÇÑ °ÍÀÌ´Ù. ±ä Á¡¼±°ú ½Ç¼±Àº À¯»ç Haar Ư¡Á¡Àº CPU¿Í GPU¸¦ Ȱ¿ëÇØ °ËÃâ ó¸® ¼Óµµ¸¦ ³ªÅ¸³»°í, ÀÏÁ¡ ¼â¼±°ú ªÀº Á¡¼±Àº HOG Ư¡Á¡¿¡ ´ëÇØ CPU¿Í GPU·Î ó¸®ÇÏ´Â ¼Óµµ¸¦ ³ªÅ¸³½´Ù.
µÎ Ư¡Á¡À» Ȱ¿ëÇÑ °ËÃâ ó¸® ¼Óµµ¸¦ ºñ±³Çϸé CPU¿¡ ºñÇØ GPU°¡ ¾à 4¹è Á¤µµ ºü¸£°Ô ó¸®ÇÏ´Â °ÍÀ» È®ÀÎÇÒ ¼ö ÀÖ´Ù. À¯»ç Haar Ư¡Á¡°ú HOG Ư¡Á¡À» ÀÌ¿ëÇÑ °ËÃâ ¼Óµµ¸¦ ºñ±³Çϸé Haar Ư¡Á¡À» ÀÌ¿ëÇÑ Adaboost ¾Ë°í¸®ÁòÀÌ HOG Ư¡Á¡À» ÀÌ¿ëÇÑ SVM¿¡ ºñÇØ 1 ÇÁ·¹ÀÓ Á¤µµ ºü¸£°Ô ó¸®ÇÒ ¼ö ÀÖÀ½À» È®ÀÎÇÒ ¼ö ÀÖ¾ú´Ù.
[Âü°í¹®Çå]
[1] H-M. Moon and S-B. Pan, The human identification method in video surveillance system, J. of The Korean Institute of Information Technology, vol. 8, no. 5, May 2010, pp. 199-206.
[2] H-M. Moon and S-B. Pan, The analysis of de-identification for privacy protection in intelligent video surveillance system, J. of The Korean Institute of Information Technology, vol. 9, no. 7, July 2011, pp. 189-200.
[3] H.-T. Kim, G.-H. Lee, J.-S. Park, and Y.-S. Yu, Vehicle detection in tunnel using Gaussian mixture model and mathematical morphological processing, J. of The Korean Institute of Electronic Communication Sciences, vol. 7, no. 5, Oct. 2012, pp. 967-974.
[4] M.-W. Kim, C.-M. Oh, D. Aurrahman, Y.-G. Ahn, and C.-W. Lee, The virture screen using skin tone and GMM foreground segmentation, In Proc. Conf. of The Korea Information Processing Society, vol. 15, no. 1, May 2008, pp. 179-181.
[5] C. Stauffer and W. E. L. Grimson, Adaptive background mixture models for real-time tracking, In Proc. IEEE Computer Vision and Pattern Recognition(CVPR) 1999, vol. 2, June 1999, pp. 246-252.
[6] A. Elgammal, D. Harwood, and L. S. Davis, Non-parametric model for background subtraction, In Proc. European Conf. on Computer Vision(ECCV 2000), vol. 1843, June. 2000, pp. 751-767.
[7] T. Ahonen, A. Hadid and M. Pietikaninen, ¡°Face description with local binary patterns : application to face recognition,¡± IEEE Trans. on Pattern Analysis and Machine Intelligence, vol. 28, no. 12, Dec. 2006. pp. 2037-2041.
[8] D. Geronimo, A. D. Sappa, A. Lopez and D.Ponsa, ¡°Pedestrian detection using Adaboost learning of features and vehicle pitch estimation,¡± In Proc. Int. Conf. Visualization, Imaging and Image Processing(IASTED), Palma de Mallorca, Spain, Aug. 2006. pp. 400-405.
[9] Thorsten Joachims, ¡°Training linear SVMs in linear time,¡± In Proc. of Int. conf. on Knowledge Discovery and Data Mining(KDD), Philadelphia Pennsylvania, Aug. 2006. pp. 217-226.
[10] ¡°NVIDIA Tegra K1, A New Era in Mobile Computing,¡± White-paper of NVIDIA, 2013.
[±Û : ¹ÚÀå½Ä °æ¼º´ëÇб³ ÀüÀÚ°øÇаú ±³¼ö ]
[¿ù°£ ½ÃÅ¥¸®Æ¼¿ùµå Åë±Ç 220È£ (sw@infothe.com)]
<ÀúÀÛ±ÇÀÚ : (www.securityworldmag.co.kr) ¹«´ÜÀüÀç-Àç¹èÆ÷±ÝÁö>

.jpg)


.jpg)













































.gif)















_ALTools_AIRemoveBG.png)
.jpg)
