Á¶¸íº¯È¿¡ °ÇÑ Àüó¸® ¹× ¾ó±¼Æ¯Â¡
±âÁ¸ÀÇ CS-LBP¸¦ º¯ÇüÇÑ ECSP Àüó¸® ±â¹ý°ú Á¶¸í¿¡ °ÇÑ D2D-PCA Ư¡À» °áÇÕÇÏ´Â ¾ó±¼ÀÎ½Ä ¹æ¹ý¿¡ ´ëÇØ »ìÆìº¸¸é ¾ó±¼ÀÎ½Ä ¹æ¹ýÀÇ ¼º´ÉÆò°¡´Â Yale B µ¥ÀÌÅͺ£À̽º »ó¿¡¼ ±âÁ¸ÀÇ ´Ù¾çÇÑ ÀÌÁøÆÐÅÏ º¯È¯ ¿µ»ó°ú ¾ó±¼ÀνĿ¡ ³Î¸® »ç¿ëµÇ°í ÀÖ´Â PCA ¹× 2D-PCA Ư¡À» ÀÌ¿ëÇØ ¼öÇàµÆ´Ù. ÀÌ °á°ú¿¡ ÀÇÇÏ¸é ¾ó±¼ÀÎ½Ä ¹æ¹ýÀº ´Ù¸¥ ¹æ¹ýµé¿¡ ºñÇØ °¡Àå ³ôÀº ÀÎ½Ä ¼º´ÉÀ» º¸¿´À¸¸ç, Á¶¸í º¯È¿¡ °ÇÑ ¾ó±¼ÀÎ½Ä ¹æ¹ýÀÎ °ÍÀ» ¾Ë ¼ö ÀÖ´Ù.
±è µ¿ ÁÖ¦´ë±¸°æºÏ°úÇбâ¼ú¿ø ¼±ÀÓ¿¬±¸¿ø(radioguy@dgist.ac.kr)
ÃÖ±Ù, LBP(Local Binary Pattern)(1)´Â Á¶¸íº¯È¿¡ °ÇÑ Àüó¸® ¹æ¹ýÀ¸·Î ¾ó±¼ÀÎ½Ä ¹× Ç¥Á¤ÀÎ½Ä ºÐ¾ß¿¡¼ ¼Ò°³µÅ, CBP(Centerized Binary Pattern)(2) ¹× CS-LBP(Center Symmetric Local Binary Pattern)(3) µî°ú °°Àº ´Ù¾çÇÑ ÇüÅ·Π¹ßÀüÇß´Ù. ¿©±â¼ ¾ê±âÇϰíÀÚ ÇÏ´Â °ÍÀº ±âÁ¸ÀÇ ÀÌÁøÆÐÅÏ º¯È¯ ¹æ¹ýÀ» ±â¹ÝÀ¸·Î ¾ó±¼ ¿µ»óÀÇ ÅØ½ºÃ³ ¼ººÐÀ» º¸´Ù Àß Ç¥ÇöÇÒ ¼ö ÀÖ´Â ECSP(Extended Center Symmetric Pattern)À» °í¾ÈÇß´Ù´Â °ÍÀÌ´Ù. À̸¦ D2D-PCA(Differential Two-Dimensional Principal Component Analysis)(4)¿Í °áÇÕÇÏ´Â ¾ó±¼ÀÎ½Ä ½Ã½ºÅÛ D2D-PCA´Â Á¶¸íº¯È¿¡ °ÇÑ ¾ó±¼ Ư¡À» Ç¥ÇöÇÏ´Â ÇϳªÀÇ ¹æ¹ýÀ¸·Î½á, ÀÌ´Â 2D-PCA(Two-Dimensional Principal Component Analysis)(5) Çà º¤ÅÍÀÇ Â÷À̼ººÐÀ» °è»êÇØ ¾ò¾îÁø´Ù. ÀÌ¿¡ ´ëÇÑ ¼º´É ºñ±³´Â Yale B °øÀÎ ¾ó±¼ µ¥ÀÌÅͺ£À̽º »ó¿¡¼ ±âÁ¸ÀÇ PCA(Principal Component Analysis)(6)¿Í 2D-PCA ¾Ë°í¸®ÁòÀ» ÀÌ¿ëÇØ ¼öÇàµÆ°í, ½ÇÇèÀ¸·ÎºÎÅÍ Á¶¸í º¯È¿¡ °ÇÑ ¾ó±¼ÀÎ½Ä ¹æ¹ýÀÓÀ» È®ÀÎÇÒ ¼ö ÀÖ´Ù.
È¿°úÀûÀÎ ¾ó±¼ÀνÄÀ» À§ÇÑ Á¦¾È
Àüó¸®
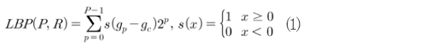
Á¶¸íº¯È¿¡ °ÇÑ ¾ó±¼ÀνÄÀ» À§ÇØ ´Ù¾çÇÑ ÀÌÁøÆÐÅÏ ¿¬»êÀ» ÀÌ¿ëÇØ Àü󸮸¦ ¼öÇàÇß´Ù. ƯÈ÷, ±âÁ¸ÀÇ ÀÌÁøÆÐÅÏ ¿¬»êÀ» º¯ÇüÇÑ ECSP ¿¬»êÀ» °í¾È¡¤Àû¿ëÇÔÀ¸·Î ¼º´É Çâ»óÀ» µµ¸ðÇß´Ù. ÀϹÝÀûÀ¸·Î, LBP´Â ±×·¹ÀÌ ·¹º§ÀÇ °¢ ȼҰªÀ» ÀÌ¿ëÇØ ¿¡Áö, Á¡, ÄÚ³Ê µî°ú °°Àº ¾ó±¼ÀÇ ·ÎÄÃ ÅØ½ºÃ³ Ư¡À» Ç¥ÇöÇϴµ¥ ÀÌ¿ëµÈ´Ù. ÀÌ LBP´Â Á¶¸í¿¡ ¹Î°¨ÇÏÁö ¾ÊÀº ¿µ»ó º¯È¯ÀÇ ÇÑ ¹æ¹ýÀ¸·Î½á, ¼ö½Ä (1)°ú °°ÀÌ Ç¥ÇöµÇ¸ç ÇöÀç À§Ä¡ÀÇ È¼Ò°ª°ú ÀÌ¿ô ȼҰªÀÇ Â÷À̸¦ 0°ú 1ÀÇ °ªÀ¸·Î ³ªÅ¸³½´Ù.
![]() |
![]() |
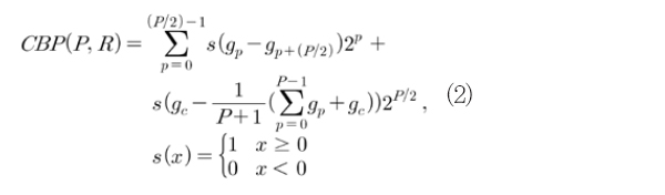
´õºÒ¾î, ¾ó±¼ ¹× Ç¥Á¤ÀνÄÀ» À§ÇØ, ÃÖ±Ù, CBP ¹× CS-LBP¿Í °°Àº ÀÌÁøÆÐÅÏÀÌ Á¦¾ÈµÆ´Ù. LPB°¡ Áß½ÉÈ¼Ò¿Í °¢°¢ÀÇ ÀÌ¿ôȼҵéÀ» ºñ±³ÇÏ´Â °Í°ú´Â ´Þ¸®, CBP´Â Áß½ÉȼÒÀÇ ¿µÇâÀ» °í·ÁÇÑ ÀÌÁøÆÐÅÏ º¯È¯ ¹æ¹ýÀ¸·Î CBP´Â Áß½ÉȼҸ¦ Áß½ÉÀ¸·Î ´ëĪÇϰí ÀÖ´Â ÀÌ¿ôȼҵéÀ» °¢°¢ ºñ±³Çϰí, ÀüüȼÒÀÇ Æò±Õ°ª gT¿Í Áß½ÉÈ¼Ò gc¸¦ ºñ±³ÇØ ÀÌÁøÆÐÅÏÀ» »ý¼ºÇÏ´Â ¹æ¹ýÀ¸·Î, ¼ö½Ä (2)¿Í °°ÀÌ Ç¥ÇöµÈ´Ù.
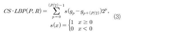
CS-LBP´Â CBP¿¡¼ Áß½ÉÈ¼Ò¿Í Æò±Õ°ªÀÇ ºñ±³ °úÁ¤À» ¼öÇàÇÏÁö ¾Ê°í, Áß½ÉȼҸ¦ ±âÁØÀ¸·Î ´ëĪµÇ´Â ÀÌ¿ôȼҵé°úÀÇ ºñ±³¸¸À» ¼öÇàÇÏ´Â CBPÀÇ º¯ÇüµÈ ¹æ¹ýÀ¸·Î ¼ö½Ä (3)°ú °°ÀÌ °è»êµÈ´Ù. .jpg)
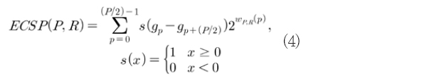
±âÁ¸ ¿¬±¸¸¦ ¹ÙÅÁÀ¸·Î, ¾ó±¼ÀÇ ÅØ½ºÃ³ ¼ººÐÀ» ´õ Àß Ç¥ÇöÇÏ´Â ECSP º¯È¯ ¹æ¹ýÀ» °í¾ÈÇß´Ù. ÀÌ °æ¿ì, ECSP´Â ±âÁ¸ÀÇ CS-LBPÀÇ º¯ÇüµÈ ÇüÅ·Î, Áß½ÉȼҸ¦ ±âÁØÀ¸·Î ´ëĪµÇ´Â ÁÖº¯È¼Ò °ªµéÀ» ºñ±³ÇÏ´Â ¹æ½ÄÀº CS-LBP¿Í µ¿ÀÏÇϳª, ÀÌÁøÆÐÅÏÀ» »ý¼ºÇÏ´Â °úÁ¤¿¡¼ °¡ÁßÄ¡¸¦ ´Ù¸£°Ô ÇØ ÆÐÅÏÀ» ±¸¼ºÇѴٴ Ư¡À» °®´Â´Ù. ÀϹÝÀûÀ¸·Î, ¾ó±¼ÀÇ ÅØ½ºÃ³´Â ¼öÁ÷À̳ª ¼öÆò ¹æÇâÀÇ ¼ººÐº¸´Ù´Â ´ë°¢ ¹æÇâÀÇ ¼ººÐÀÌ º¸´Ù ´õ Áß¿äÇÑ Á¤º¸¸¦ Æ÷ÇÔÇÑ´Ù. ÀÌ¿¡, ECSP´Â ÀÌÁøÆÐÅÏÀ» »ý¼ºÇÏ´Â °úÁ¤¿¡¼ ´ë°¢À¸·Î ´ëĪµÇ´Â ¼ººÐ¿¡ Á߿䵵¸¦ ³ô°Ô ºÎ¿©ÇØ ¾ó±¼ÀÇ ÅØ½ºÃ³¸¦ »ý¼ºÇϸç, ¼ö½Ä (4)·Î °è»êµÈ´Ù. .jpg)
¼ö½Ä (4)¿¡¼´Â ÀÌÁøÆÐÅÏ »ý¼º°úÁ¤¿¡¼ ºñÆ® °¡ÁßÄ¡¸¦ °áÁ¤ÇÏ´Â ÇÔ¼ö¸¦ ÀǹÌÇϸç, P¿Í RÀÌ 8°ú 1ÀÏ °æ¿ì, w(p)´Â ¼ö½Ä (5)·Î Á¤ÀǵȴÙ. .jpg)
±×¸² 2´Â ±âÁ¸ÀÇ ´Ù¾çÇÑ ÀÌÁøÆÐÅÏ ¿¬»êÀ» ÀÌ¿ëÇÑ º¯È¯ ¿µ»ó°ú ECSP º¯È¯ ¿µ»óÀÇ ¿¹½Ã¸¦ º¸À̰í ÀÖ´Ù. ±×¸² 2·ÎºÎÅÍ ECSP ¿µ»óÀº LBP, CBP ¹× CS-LBP ¿µ»óº¸´Ù ÅØ½ºÃ³ ¼ººÐÀÌ º¸´Ù ´õ ÇöÀúÇÏ°Ô Ç¥ÇöµÇ°í ÀÖÀ½À» ¾Ë ¼ö ÀÖ´Ù. .jpg)

Ư¡ÃßÃâ ¹× ÀνÄ
ÀÌ ¿¬±¸¿¡¼´Â Á¶¸íº¯È¿¡ °ÇÑ Æ¯Â¡ÃßÃâÀ» À§ÇØ D2D-PCA¸¦ »ç¿ëÇß´Ù(4). D2D-PCA´Â 2D-PCA°¡ line-based Ư¡ ¸ÅÆ®¸¯½ºÀÎ Á¡¿¡ Âø¾ÈÇØ Ư¡ Çà º¤ÅÍ »çÀÌÀÇ Â÷ÀÌ ¼ººÐÀ» ÀÌ¿ëÇÑ °ÍÀ¸·Î, Ư¡ Çà º¤ÅÍ »çÀÌÀÇ Â÷ÀÌ ¼ººÐÀÌ Á¶¸íº¯È¿¡ º¸´Ù °ÀÎÇÏ´Ù´Â °¡Á¤¿¡ ±â¹ÝÇÑ´Ù. ÀÌ´Â D2D-PCA´Â 2D-PCA Ư¡º¤Å͸¦ »ý¼ºÇϰí, À̵éÀÇ Â÷ÀÌ ¼ººÐÀ» °è»êÇØ ¾òÀ» ¼ö ÀÖ´Ù. ¸ÕÀú, 2D-PCA´Â ´ÙÀ½°ú °°Àº °úÁ¤À¸·Î °è»êÇÒ ¼ö Àִµ¥ ¾ó±¼¿µ»ó Å©±â°¡ ÀÎ À̹ÌÁö Çà·ÄÀ» ¶ó Çϰí, ÇàµéÀÌ ¼·Î Á¤±ÔÁ÷±³ÇÏ´Â Çà·ÄÀ», X¡ôRn¡¿d, n¡Ãd¶ó Çϸé À̹ÌÁö Çà·Ä A°¡ YÃà¿¡ Åõ¿µµÈ´Ù¸é, m¡¿dÀÇ Çà·ÄÀº Y=AX·Î °è»êµÈ´Ù. À̶§, 2D-PCA´Â ÃÖÀûÀÇ Åõ¿µ Çà·Ä X¸¦ °áÁ¤Çϴµ¥, À̹ÌÁö Çà·Ä »ùÇÃÀÇ ºÐ»êÀ» »ç¿ëÇÑ´Ù. ¶Ç, N°³ÀÇ ÇнÀ ¿µ»ó »ùÇÃÀ» Ak(k=1,2,¡¤¡¤¡¤,N)¶ó Çϰí, ÇнÀ »ùÇõéÀÇ Æò±ÕÀ̹ÌÁö¸¦ ¶ó Çϸç ÇнÀ ¾ó±¼ ¿µ»óµéÀÇ À̹ÌÁö °øºÐ»ê Çà·Ä G´Â ¼ö½Ä (6)À¸·Î °è»êµÈ´Ù.
À̶§, ÃÖÀûÀÇ Åõ¿µ Çà·Ä Xopt´Â ÃÖ´ë °íÀ¯Ä¡¸¦ °®´Â °øºÐ»ê Çà·Ä GÀÇ d°³ÀÇ °íÀ¯º¤ÅÍ X1, X2, ¡¤¡¤¡¤, Xd·Î ±¸¼ºµÇ¸ç, °øºÐ»ê Çà·Ä G´Â ´ÜÁö n¡¿nÀÇ Å©±â¸¦ °¡Áö¹Ç·Î °íÀ¯º¤ÅÍ Xopt´Â ¸Å¿ì È¿À²ÀûÀ¸·Î °è»êµÉ ¼ö ÀÖ´Ù. °íÀ¯º¤ÅÍ X´Â n¡¿dÂ÷¿øÀÇ Çà·ÄÀ̹ǷÎ, ÁÖ¾îÁø ¾ó±¼ ¿µ»ó A(m¡¿n)ÀÇ 2D-PCA Ư¡º¤ÅÍ Yk(m¡¿d)´Â ¼ö½Ä (7)°ú °°ÀÌ °íÀ¯º¤ÅÍÀÇ Ãà¿¡ Åõ¿µÇÔÀ¸·Î½á °è»êµÈ´Ù. .jpg)
´ÙÀ½À¸·Î, D2D-PCA Ư¡Àº °£´ÜÇÏ°Ô 2D-PCA Ư¡À¸·ÎºÎÅÍ ¾òÀ» ¼ö ÀÖ´Ù. 2D-PCA´Â m°³ÀÇ Çà°ú dÀÇ ¿·Î ÀÌ·ç¾îÁø º¤ÅÍÀ̹ǷΠD2D-PCA´Â ¼ö½Ä (8)°ú °°ÀÌ °¢ Ç຤ÅÍ »çÀÌÀÇ Â÷À̸¦ °è»êÇÔÀ¸·Î½á ¾ò¾îÁø´Ù. ¿©±â¼ yi´Â i¹øÂ° ÇàÀÇ 2D-PCA Çà º¤Å͸¦ ÀǹÌÇϸç, dy´Â D2D-PCA Ư¡º¤Å͸¦ ÀǹÌÇÑ´Ù. .jpg)
À§¿Í °°Àº °úÁ¤À¸·Î ÃßÃâµÈ D2D-PCA Ư¡Àº 2Â÷¿ø Çà·Ä ÇüÅ·Π±¸¼ºµÇ¸ç, À¯Å¬¸®µð¾ð °Å¸® ±â¹ÝÀÇ ÃÖ±ÙÁ¢ ÀÌ¿ô ºÐ·ù±â¸¦ ÅëÇØ ¾ó±¼ ÀνÄÀº ¼öÇàµÈ´Ù. .jpg)
![]() |
D2D-PCA Ư¡ÃßÃâ ¹æ¹ý Á¶¸í¿¡ È¿°úÀû
¿©±â¼ ¸»ÇÏ´Â ¾ó±¼ ÀÎ½Ä ¹æ¹ýÀÌ Á¶¸íº¯È ȯ°æ¿¡ °ÀÎÇϰí È¿À²Àû ÀÎÁöÀÇ ¿©ºÎ¸¦ Æò°¡Çϱâ À§Çؼ Yale B °øÀÎ ¾ó±¼ µ¥ÀÌÅͺ£À̽º¸¦ ¼º´ÉÆò°¡¿¡ »ç¿ëÇß´Ù(7). Yale B ¾ó±¼ µ¥ÀÌÅͺ£À̽º´Â ´Ù¾çÇÑ Æ÷Áî¿Í Á¶¸í º¯È ȯ°æ¿¡¼ ¾ó±¼ÀÎ½Ä ¾Ë°í¸®ÁòÀÇ ¼º´ÉÆò°¡¸¦ À§ÇØ ±¸ÃàµÈ °øÀÎ µ¥ÀÌÅͺ£À̽º·Î 38¸íÀÇ »ç¶÷¿¡ ´ëÇÑ Á¤¸é Æ÷ÁîÀÇ 64°³ Á¶¸íº¯È ȯ°æ¿¡¼ ±¸ÃàµÈ 2,432ÀåÀÇ ¿µ»óÀ» ½ÇÇè¿¡ »ç¿ëÇß´Ù. ÀÌ¿Í ÇÔ²² ¾ó±¼ ÀÎ½Ä ¼º´É Æò°¡´Â ±×¸² 3°ú °°ÀÌ Á¶¸í º¯È°¡ °ÅÀÇ ¾ø´Â 5ÀåÀÇ ¿µ»óÀ» ÇнÀ¿¡ »ç¿ëÇß°í, ³ª¸ÓÁö ¿µ»óÀ» Å×½ºÆ®¿¡ »ç¿ëÇß´Ù.
¾ó±¼ÀÎ½Ä ½ÇÇèÀº ¿øº»¿µ»ó, LBP, CBP, CS-LBP ¹× ECSP Àüó¸® ¿µ»óµé°ú PCA, 2D-PCA ¹× D2D-PCA ¾Ë°í¸®ÁòÀ» ÀÌ¿ëÇØ ¼öÇàµÆ´Ù. ½ÇÇè°á°ú, PCA, 2D-PCA ¹× D2D-PCA¸¦ »ç¿ëÇÑ Æ¯Â¡Â÷¿ø¿¡ µû¸¥ ÀÎ½Ä °á°ú¸¦ ±×¸² 4, ±×¸² 5, ±×¸² 6¿¡ °¢°¢ ³ªÅ¸³ÂÀ¸¸ç, Ç¥ 1¿¡ ¼º´ÉÆò°¡ °á°ú¸¦ ¿ä¾àÇß´Ù. ½ÇÇèÀ¸·ÎºÎÅÍ ECSP ¿µ»ó°ú D2D-PCA¸¦ °áÇÕÇÑ Á¦¾È ¹æ¹ýÀº 98.26%ÀÇ °¡Àå ³ôÀº ÀνķüÀ» º¸¿´´Ù. ´õºÒ¾î, ´Ù¾çÇÑ Àüó¸® ¿µ»óÀ» °í·ÁÇØ ¼º´ÉÀ» ºñ±³ÇßÀ» °æ¿ì, ¸ðµç ¾Ë°í¸®Áò¿¡ ´ëÇØ ECSP ¿µ»óÀ» »ç¿ëÇßÀ» ¶§ °¡Àå ÁÁÀº ¼º´ÉÀ» º¸¿´À¸¸ç, À̷κÎÅÍ Á¦¾ÈÇÏ´Â ÀÌÁøÆÐÅÏ º¯È¯ ¹æ¹ýÀÇ È¿¿ë¼ºÀ» È®ÀÎÇÒ ¼ö ÀÖ¾ú´Ù. ¶ÇÇÑ ¾Ë°í¸®Áò¿¡ µû¸¥ ÀÎ½Ä ¼º´ÉÀ» ºñ±³ÇßÀ» °æ¿ì, D2D-PCA Ư¡ÀÌ Á¶¸í¿¡ °¡Àå °ÇÑ Æ¯Â¡ÃßÃâ ¹æ¹ýÀÓÀ» ¾Ë ¼ö ÀÖÀ¸¸ç, ½ÇÇè°á°ú ¹× ¹æ¹ýÀÇ È¿¿ë¼ºÀ» È®ÀÎÇÒ ¼ö ÀÖ¾ú´Ù.
Á¶¸í º¯È¿¡ °ÇÑ ¾ó±¼ÀνÄÀ» À§ÇØ, À̹ø ¿¬±¸¿¡¼´Â ECSP Àüó¸® ±â¹ý°ú D2D-PCA Ư¡ÃßÃâ ±â¹ý¿¡ ´ëÇØ ¾Ë¾ÆºÃ´Ù. Yale B ¾ó±¼ µ¥ÀÌÅͺ£À̽º¿¡¼ ±âÁ¸ÀÇ ´Ù¾çÇÑ ÀÌÁøÆÐÅÏ ¿µ»ó°ú PCA, 2D-PCA µîÀÇ ¾Ë°í¸®ÁòÀ» ÀÌ¿ëÇØ Á¦¾È¹æ¹ýÀÇ ¼º´ÉÆò°¡¸¦ ¼öÇàÇÑ °á°ú, ECSP ¿µ»ó°ú D2D-PCA¸¦ °áÇÕÇÑ Á¦¾È¹æ¹ýÀÌ 98.26%ÀÇ °¡Àå ³ôÀº ÀνķüÀ» º¸¿´À¸¸ç À̹ø ¿¬±¸°¡ Á¶¸íº¯È¿¡ °ÇÑ È¿°úÀûÀÎ ¾ó±¼ÀÎ½Ä ¹æ¹ýÀÓÀ» È®ÀÎÇÒ ¼ö ÀÖ´Ù.


Âü °í ¹® Çå
(1) T. Ahonen, A. Hadid, and M. Pietikainen, Face Description with Local Binary Patterns: Application to Face Recognition, IEEE Transaction on Pattern Analysis and Machine Intelligence, vol. 28, no. 12, pp. 2037-2041, 2006.
(2) X. Fu, and W. Wei, Centralized Binary Patterns Embedded with Image Euclidean Distance for Facial Expression Recognition, International Conference of Neural Computation, pp. 115-119, 2008.
(3) H. Marko, P. Matti, and S. Cordelia, Description of Interest Regions with Center-Symmetric Local Binary Patterns, Indian Conference on Computer Vision, Graphics and Image Processing, pp. 58-69, 2006.
(4) Sang-Heon Lee, Dong-Ju Kim and Jin-Ho Cho, Illumination-robust face recognition system based on differential components, IEEE Transactions on Consumer Electronics, vol. 58, no. 3, pp. 963-970, 2012.
(5) Y. Jian, Z. David, F. Alejandro, and J.Y. Yang, Two-dimensional PCA: A New Approach to Appearance-based Face Representation and Recognition, IEEE Transactions on Pattern Analysis and Machine Intelligence, vol. 26, no. 1, pp. 131-137, 2004.
(6) M. Turk and A. Pentland, Eigenfaces for recognition, Journal of Cognitive Neurosci, vol. 3, no. 1, pp. 71-86, 1991.
(7) A. Georghiades, P. Belhumeur, and D. Kriegman, From few to many: Illumination Cone Models for Face Recognition under Variable Lighting and Pose, IEEE Transactions on Pattern Analysis and Machine Intelligence, vol. 23, no. 6, pp. 643-660, 2001.
<±Û : ±èµ¿ÁÖ ´ë±¸°æºÏ°úÇбâ¼ú¿ø ¼±ÀÓ¿¬±¸¿ø>
[¿ù°£ ½ÃÅ¥¸®Æ¼¿ùµå Åë±Ç Á¦198È£(sw@infothe.com)]
<ÀúÀÛ±ÇÀÚ : ½ÃÅ¥¸®Æ¼¿ùµå(www.securityworldmag.co.kr) ¹«´ÜÀüÀç-Àç¹èÆ÷±ÝÁö>












.jpg)













































_m.jpg)


.jpg)

.png)